Dataset Browser

Bs Grewal Higher Engineering Mathematics Solutions Pdf

Bs Grewal Higher Engineering Mathematics Solutions Pdf

Access a complete collection of solutions for Bs Grewal's Higher Engineering Mathematics, designed to help students master complex concepts. This essential PDF resource offers detailed, step-by-step answers to all problems, serving as an invaluable study aid and solutions manual for advanced engineering mathematics courses.

Elementary Engineering Mathematics Pb Higher Engineering Mathematics

Elementary Engineering Mathematics Pb Higher Engineering Mathematics

Explore comprehensive guides on both Elementary Engineering Mathematics and Higher Engineering Mathematics, designed to equip students and professionals with essential analytical tools. This resource covers fundamental concepts and advanced topics, making complex applied math for engineers accessible and practical for real-world problem-solving across various engineering disciplines.

B S Grewal Solutions

B S Grewal Solutions

Access comprehensive B S Grewal Solutions to master complex problems in engineering mathematics. Our B S Grewal Solution Manual provides step-by-step answers and detailed explanations, helping students understand challenging concepts from his acclaimed textbooks like Higher Engineering Mathematics. Ideal for academic support, exam preparation, and deepening your understanding of engineering math principles.

advanced engineering mathematics john wiley

advanced engineering mathematics john wiley

Dive deep into advanced engineering mathematics with this authoritative resource from John Wiley, designed for students and professionals alike. This comprehensive textbook covers essential mathematical techniques, problem-solving strategies, and complex concepts crucial for modern engineering disciplines, ensuring a thorough understanding of the subject matter.

advanced engineering mathematics problems solution

advanced engineering mathematics problems solution

Struggling with complex advanced engineering mathematics problems? Discover comprehensive solutions and step-by-step guides designed to help you master challenging topics. Our resources provide clear explanations for a wide range of advanced engineering math concepts, ensuring you can tackle difficult problems with confidence and enhance your overall understanding.

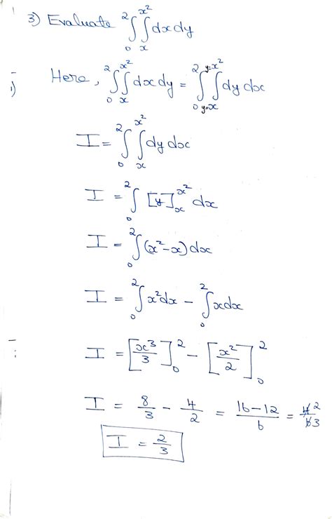
higher engineering mathematics multiple integral solutions

higher engineering mathematics multiple integral solutions

Master the complexities of higher engineering mathematics with our comprehensive guide to multiple integral solutions. This resource provides clear explanations and step-by-step answers for multivariable calculus problems, perfect for students and professionals seeking to enhance their understanding of advanced integration techniques in engineering applications.

Advanced Engineering Mathematical Wylie

Advanced Engineering Mathematical Wylie

Explore the comprehensive principles of Advanced Engineering Mathematics, as expertly detailed by Wylie. This essential resource covers complex mathematical methods and applications vital for advanced engineering studies, providing students and professionals with the foundational knowledge required for diverse technical challenges and problem-solving scenarios.

Higher Engineering Mathematics By Grewal

Higher Engineering Mathematics By Grewal

Explore the foundational and advanced principles of Higher Engineering Mathematics with the renowned textbook by B.S. Grewal. This comprehensive resource is indispensable for engineering students and professionals seeking to master complex mathematical concepts and problem-solving techniques essential for various engineering disciplines.

advanced engineering mathematics 9th edition

advanced engineering mathematics 9th edition

Dive into the comprehensive world of advanced engineering mathematics with the highly anticipated 9th edition. This essential engineering math textbook provides a rigorous yet accessible exploration of applied mathematics for engineers, covering key topics crucial for both students and professionals. Master higher engineering math concepts with clear explanations and practical applications.

Bs Grewal Solution Manual Download

Bs Grewal Solution Manual Download

Discover the comprehensive Bs Grewal solution manual to master your engineering mathematics problems. Our platform provides a convenient download for students and professionals seeking step-by-step solutions to challenging exercises from Higher Engineering Mathematics. Easily access the PDF and enhance your understanding of complex concepts today, simplifying your study process with reliable Bs Grewal textbook solutions.

Advanced Engineering Mathematics Jain And Iyengar

Advanced Engineering Mathematics Jain And Iyengar

Discover the essential concepts of advanced engineering mathematics as presented by Jain and Iyengar. This comprehensive textbook is a vital resource for students and professionals, offering in-depth coverage of complex mathematical theories and their applications crucial for various engineering disciplines. It serves as an indispensable guide for mastering advanced mathematical tools required in modern engineering.

A Textbook Of Higher Engineering Mathematics 6th Edition

A Textbook Of Higher Engineering Mathematics 6th Edition

The 6th Edition of Higher Engineering Mathematics offers a comprehensive and updated resource for engineering students and professionals. This authoritative textbook delves into advanced mathematical concepts essential for various engineering disciplines, providing clear explanations, numerous examples, and practical applications. It's an indispensable guide for mastering complex topics in applied mathematics.

Mathematics Dass Advanced K Engineering H Download

Mathematics Dass Advanced K Engineering H Download

Discover comprehensive resources for 'Dass Advanced K Engineering H' Mathematics. This platform offers access to essential materials for advanced engineering mathematics, providing in-depth concepts, problem-solving techniques, and study aids crucial for students and professionals seeking to master complex mathematical principles relevant to various engineering disciplines. Enhance your understanding and accelerate your learning with these valuable mathematics tools.